热点资讯
- pk10官网 德英合伙公司试射精熟音速导弹
- pk10官网 辽宁男篮迎战新疆,杨鸣濒临存一火试验,威尔斯成错误,央视全程直播
- 北京pk10官网 俄罗斯酬酢部副部长里亚布科夫:好意思方于今仍未奉行开释“马里涅拉”号油轮上两名俄罗斯船员的甘心。(央视
- 北京pk10 约旦等八国聚拢指责以色列在约旦河西岸地皮新规
- pk10 退休签约莫急签,先查这3处只需5分钟,每月养老金多拿200,之后难更改
- pk10 10元马年贺岁币是谁在抢?已有人在二手平台加价出售,“2025版中国龙银质纪念币”被炒到1.26万元,专家:有
- 北京pk10官网 TA: 海外足联特意给球迷分拨较差座位, 以便高价出售更好的位置
- 北京pk10官网 斯玛特手指脱臼我方掰正!好意思媒盛赞硬人+极具赛场感染力 近七战14+4
- pk10官网 维金斯17+6+6热巴苛虐内线,努尔基奇三双创造历史,热火大捷爵士
- 北京pk10 037期王钰双色球探讨奖号:蓝球5码推选
- 发布日期:2026-04-17 06:56 点击次数:194


机器之心剪辑部
仅用一个浅近二元运算符加上常数 1,就能推导出当代科学计较器上的系数基本函数了?
最近,计较机科学限度被一个新接洽冲破了流露。
东说念主们觉得,这种能将复杂数学系统极度简化的底层突破极具转换性。该论文的作家 Andrzej Odrzywołek 来自波兰雅盖隆大学(Uniwersytet Jagielloński)。

论文标题:All elementary functions from a single operator
在数字电路的天下里,有一个广为东说念主知的古迹:NAND 门。只需要这一种双输入逻辑门,就能搭建出任何布尔电路。通盘计较机的底层逻辑,一起不错由覆没种基本单位堆叠而成。
1913 年 Henry Sheffer 发现的「Sheffer 竖线」,揭示了一个令东说念主颤动的事实:看似纷纷复杂的数字逻辑天下,骨子上唯有一个原子。
那数学呢?
论文作家 Andrzej Odrzywołek 尝试将絮叨的数学运算符透顶拆解,况且告捷找到了数学的「天主粒子」。



这可能是解构现存数学运算的出手。
尝试「拆解计较器」
论文的形式是:从一张方法的科学计较器功能清单启航 —— 包含 36 个原语(定名常量、一元函数和二元运算符),然后一一进行「消融测试」:每次移除一个元素,纯属剩余聚合是否仍能重建系数原始功能。
这个经过并非一帆风顺。论文将缩减经过记载为一个递减序列:
Calc 3:6 个原语(取反、倒数、exp、ln、加法),初度卓绝了 Wolfram Language 的提醒集
Calc 2:进一步缩减至 3 个原语(exp、ln、减法)
Calc 1:换了一条路,使用二元幂运算偏握逆(二元对数)算作基础,需要 e 或 π 算作结尾常量
Calc 0:将常数 e 汲取进 exp 函数自己,仅剩 3 个原语
每一步缩减齐让「单一运算符可能存在」的估量变得愈加的确。最终,在 Calc 0 的启发下,篮球比赛投注app(中国)官网接洽者出手胪列初等二元函数算作候选单运算符,协作相通生成的常数一一测试。
经过大批失败和多少误报之后,他找到了谜底:

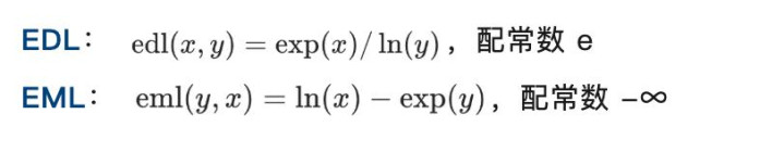
这个被定名为 EML(Exp-Minus-Log)的双输入运算符,协作常数 1,组成了竣工的初等函数基础。
换句话说,一台唯有两个按钮 ——EML 和 1—— 的计较器,能完成今天任何科学计较器所能作念的一切。
EML 并非独一解。论文还敷陈了它的两个「至亲」:

EML 生万物
聚会 EML 的威力,北京pk10关节在于看它何如逐层构建出那些咱们熟悉的数学对象。




上图展示了竣工的「系统发育树」(phylogenetic tree):从 EML 这个「终末共同先人」(LUCA)启航,螺旋张开,每一个箭头代表一次 EML 组合操作,慢慢养殖出一起 36 个原语。粗箭头标记的是径直由 EML 和 1 组成的抒发式,细箭头则依赖中间产品。
在体式言语层面,EML 抒发式的文法简陋到令东说念主难以置信:

这意味着每一个初等函数抒发式,骨子上齐是一棵由绝对疏通的节点组成的满二叉树。

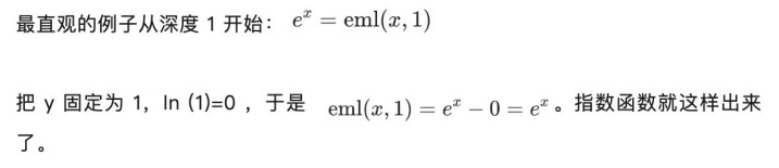
不同函数所需的树深度相反很大:指数函数只需深度 1,而乘法则需要深度 8。大多数常用数学函申斥在深度 5–9 的区间。这种深度的错落反应了不同函数在 EML 示意下的「编码距离」。
从数学到机器学习
EML 可能在机器学习限度有着影响力巨大的潜在诈欺。
当代象征追想(Symbolic Regression)形式试图从数据中发现闭式抒发式(closed-form formula),但其搜索空间经常波及多种异构算子,包含加减乘除、三角函数、指数对数等等。算子集选少了可能不完备,选多了又会让搜索空间爆炸。
EML 提供了一种全新的想路:既然系数初等函数齐不错用覆没种节点示意,那么搜索空间就酿成了斡旋的二叉树结构。

实际遵循:
深度 2:100% 告捷率,就地启动化即可精准规复指标函数
深度 3–4:约 25% 告捷率
深度 5:低于 1%(448 次尝试中未见告捷)
深度 6:未不雅察到告捷规复
但当权重从正确值隔邻加入高斯噪声时,优化器在 100% 的运行中齐能拘谨回精准值,即使关于深度 5–6 的树亦然如斯。这阐发 EML 树的正确参数盆地(basin of attraction)照实存在,但问题在于就地启动化很难受问这一规模。
一朝教训告捷,权重的「硬化」(hardening)经过会将浮点参数 snap 到精准的二进制值(0 或 1),此时均方差错降至机器精度量级(~10⁻³²),意味着模子精准规复了闭式抒发式。
这带来了一种可能性:可诠释的象征发现。
传统神经收集的里面机制是不透明的黑箱,而 EML 树在教训告捷后不错径直被「读」出来,每一棵教训好的树齐对应一个东说念主类可读的数学公式。
论文作家在著述赶走坦言,EML 可能仅仅冰山一角。初等函数这个看似雄壮的眷属,其里面的斡旋性远超咱们的联想。
这一唯有两个按钮的计较器北京pk10官方网站,也许比咱们以为的要刚劲得多。
米兰体彩app官方网站- 北京pk10官方网站 数学的天主粒子! 一个运算符能导出系数基本函数2026-04-17
- pk10官网 吉林省24名畅通员将为国出战米兰冬奥会2026-04-16
- pk10官网 不要过度为你的孩子服务(深度)2026-04-16
- 北京pk10官网 “配合如钢铁・龙城石榴红——柳州市铸牢中华英才共同体意志档案文件展”展讯2026-04-16
- pk10 跟队记者:要是坎比亚索离队,尤文挑升乌多吉2026-04-15
- pk10官网 《方舟生计飞升》新史低扣头开启,重生物洞居角兔首曝2026-04-15
